Empire Hikes

Menu

  • Home
  • About
    • Our Guides
    • Company
  • Hikes
  • Hiking 101
    • Choosing Hiking Gear
    • Hiking Safety
    • Hiking Etiquette
    • Leave No Trace
  • Regions
  • Blog
  • Contact

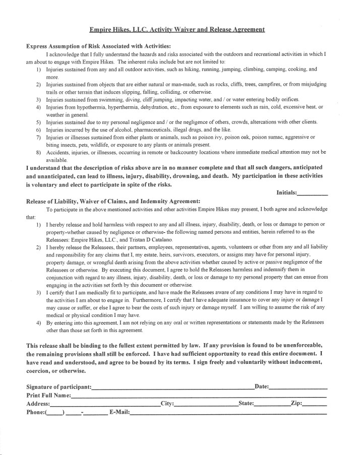
Liability Release

Download Printable Waiver (PDF)

Share this:

  • Share on X (Opens in new window) X
  • Share on Facebook (Opens in new window) Facebook
Like Loading...
Instagram

No Instagram images were found.

Come Explore…
Create a website or blog at WordPress.com
  • Subscribe Subscribed
    • Empire Hikes
    • Already have a WordPress.com account? Log in now.
    • Empire Hikes
    • Subscribe Subscribed
    • Sign up
    • Log in
    • Copy shortlink
    • Report this content
    • View post in Reader
    • Manage subscriptions
    • Collapse this bar
 

Loading Comments...
 

    %d